Skip to content

Latest commit

 

History

History
20.7 KB

File metadata and controls

20.7 KB
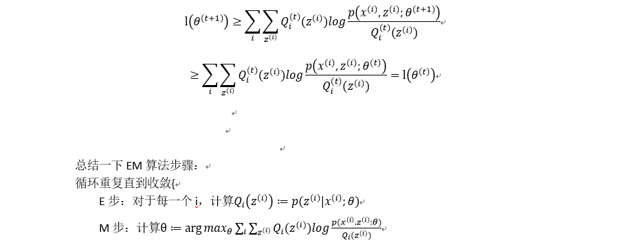
EM算法M步2.PNG